Limits in Mathematics (Calculus)

Image
Image
Image
Image

Introduction to Limits

Limits are one of the most fundamental concepts in calculus and mathematical analysis. They describe the behavior of a function as its input approaches a particular value. Instead of focusing on the exact value of a function at a specific point, limits examine what value the function is approaching.

The concept of limits forms the foundation for many advanced mathematical ideas, including derivatives, integrals, continuity, and infinite series. Without limits, the development of calculus would not be possible.

In simple terms, a limit answers the question:

What value does a function approach as the input gets closer and closer to a certain number?

For example, consider a function f(x). If the values of f(x) become closer to a number L as x approaches a value a, then we say that the limit of f(x) as x approaches a equals L.

This is written mathematically as:

lim (x → a) f(x) = L

This expression means that the function f(x) approaches the value L as x approaches the number a.

Limits allow mathematicians to analyze behavior near a point even if the function is not defined exactly at that point. This makes limits a powerful tool for studying functions and their properties.


Intuitive Understanding of Limits

Image
Image
Image
Image

To understand limits intuitively, imagine a function represented by a curve on a graph. As the x-values get closer and closer to a particular point, the y-values may approach a specific number.

For example, consider the function:

f(x) = (x² − 1)/(x − 1)

If we substitute x = 1 directly into the function, we get:

0/0

This expression is undefined. However, if we simplify the function:

(x² − 1)/(x − 1) = (x − 1)(x + 1)/(x − 1)

Canceling (x − 1):

f(x) = x + 1

Now, if x approaches 1:

f(x) approaches 2.

Therefore:

lim (x → 1) (x² − 1)/(x − 1) = 2

Even though the function is not defined at x = 1, the limit exists and equals 2.

This demonstrates how limits describe the behavior of functions near a point.


Formal Definition of a Limit

Image
Image
Image
Image

The rigorous mathematical definition of limits was developed using the epsilon-delta definition.

The definition states:

The limit of f(x) as x approaches a equals L if for every small positive number ε (epsilon), there exists another small positive number δ (delta) such that whenever the distance between x and a is less than δ, the distance between f(x) and L is less than ε.

Mathematically:

If 0 < |x − a| < δ then |f(x) − L| < ε

This definition ensures that the function values can be made arbitrarily close to L by choosing x sufficiently close to a.

Although the epsilon-delta definition may appear complex, it provides a precise way to define limits mathematically.


One-Sided Limits

Image
Image
Image
Image

Sometimes it is necessary to study limits from only one side of a point.

These are called one-sided limits.

Left-Hand Limit

The left-hand limit occurs when x approaches a from values less than a.

Notation:

lim (x → a⁻) f(x)

Right-Hand Limit

The right-hand limit occurs when x approaches a from values greater than a.

Notation:

lim (x → a⁺) f(x)

For a limit to exist, the left-hand and right-hand limits must be equal.

Example:

If

lim (x → 2⁻) f(x) = 3
lim (x → 2⁺) f(x) = 3

Then

lim (x → 2) f(x) = 3

If the two one-sided limits are different, the limit does not exist.


Limits at Infinity

Image
Image
Image
Image

Limits can also describe the behavior of functions as x becomes extremely large or extremely small.

These are called limits at infinity.

Example:

lim (x → ∞) (1/x) = 0

As x becomes larger and larger, the value of 1/x becomes smaller and approaches zero.

Another example:

lim (x → ∞) (2x + 1)/(x + 3) = 2

To determine such limits, we divide numerator and denominator by x.

Limits at infinity help identify horizontal asymptotes in graphs.


Algebra of Limits

Image
Image
Image
Image

Several rules make it easier to evaluate limits.

Let:

lim f(x) = L
lim g(x) = M

Then:

Sum Rule

lim [f(x) + g(x)] = L + M

Difference Rule

lim [f(x) − g(x)] = L − M

Product Rule

lim [f(x)g(x)] = LM

Quotient Rule

lim [f(x)/g(x)] = L/M

provided M ≠ 0.

Constant Rule

lim c = c

These rules simplify the evaluation of complex limits.


Techniques for Evaluating Limits

Image
Image
Image
Image

Different techniques are used to evaluate limits.

Substitution

Direct substitution works if the function is continuous at the point.

Factorization

Factorizing expressions can eliminate undefined forms.

Rationalization

Multiplying by conjugates can simplify radical expressions.

Common Denominator

Combining fractions helps simplify expressions.

Trigonometric Limits

Some limits use special trigonometric formulas.

Example:

lim (x → 0) sin x / x = 1

These techniques help solve many calculus problems.


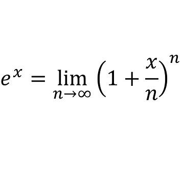
Important Standard Limits

Image
Image
Image
Image

Several limits are fundamental in calculus.

Important examples include:

lim (x → 0) sin x / x = 1

lim (x → 0) (1 − cos x)/x = 0

lim (x → ∞) (1 + 1/x)^x = e

These limits are frequently used in calculus and mathematical analysis.


Limits and Continuity

Image
Image
Image
Image

Limits are closely related to the concept of continuity.

A function is continuous at a point if:

  1. The function is defined at that point.
  2. The limit exists at that point.
  3. The limit equals the function value.

Mathematically:

lim (x → a) f(x) = f(a)

If these conditions are satisfied, the function is continuous at x = a.

Continuity is essential for calculus operations such as differentiation and integration.


Applications of Limits

Image
Image
Image
Image

Limits have many practical applications.

Calculating Derivatives

The derivative of a function is defined using limits.

Physics

Limits help describe motion, velocity, and acceleration.

Engineering

Engineers use limits in modeling systems and signals.

Economics

Limits are used in marginal analysis and optimization.

Computer Science

Limits help analyze algorithms and computational complexity.


Importance of Limits in Calculus

Limits form the foundation of calculus.

They are used to define:

  • derivatives
  • integrals
  • continuity
  • infinite series

Without limits, the mathematical study of change and accumulation would not be possible.

Limits allow mathematicians to analyze behavior at very small scales and understand instantaneous rates of change.


Conclusion

Limits are a fundamental concept in mathematics that describe how functions behave as their input approaches a specific value. They provide the foundation for calculus and play a crucial role in defining derivatives, integrals, and continuity.

Understanding limits helps mathematicians and scientists analyze functions, model real-world phenomena, and solve complex problems involving change and motion. Limits are widely used in physics, engineering, economics, and computer science.

Mastering limits is an essential step for students studying calculus and advanced mathematics, as it opens the door to deeper mathematical understanding and powerful analytical tools.


Tags

Leave a Reply

Your email address will not be published. Required fields are marked *